مشخصات فنی زانتان گام
نام لاتین : xanthan gum
فرمول شیمیایی : C35H49O29
ظاهر : پودر سفید تا زرد روشن
پایداری : پایدار تا دمای حدود 100 درجه سانتیگراد ،مقاوم به تغییرات دما، اسیدیته و نمک ها
ویسکوزیته : بالا، حتی در غلظت های کم
نام های دیگر آن : گزانتانگام، صمغ زانتان و یا صمغ زانتان گام
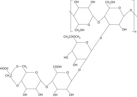
ساختار ملکولی : شامل گلوکز ، مانوز و اسید گلوکورونیک
قابلیت انحلال درآب و ph مناسب : بین 6 تا 8
انحلال پذیری : به راحتی در آب سرد و گرم حل میشود.
قابلیت ایجاد ژل و تعلیق : مانع از ته نشینی مواد در محلول ها
درصد خلوص : معمولا بالای 95%
گرید : خوراکی ، صنعتی ، دارویی
نقطه ذوب : ندارد
(تجزیه حرارتی قبل از ذوب)
دمای انتقال
شیشهای (Tg) : حدود
39 درجه سانتیگراد
برند های مطرح : Fufeng , Deosen ,
Jungbunzlauer
کشور های تولید کننده : چین ، آمریکا ،فرانسه ،آلمان
بسته بندی : کیسه های 25 کیلو گرمی
کیسه های فویلی یا پلاستیکی مقاوم : برای جلوگیری از جذب رطوبت
زانتان گام شفاف : محلولی شفاف ایجاد میکند(مناسب برای نوشیدنی ها)
زانتان گام معمولی : محلولی شیری رنگ تولید میکند.
زانتان گام چیست؟
زانتان گام یا صمغ زانتان یک پلی ساکارید طبیعی است که به عنوان
عامل غلظت دهنده و پایدار کننده در صنایع غذایی،دارویی،آرایشی و صنعتی کاربرد. این
ماده از طریق تخمیر کربوهیدرات هایی مانند نشاسته ذرت یا گندم توسط باکتری Xanthomonas campestrisتولید میشود.زانتان گام از ترکیبات شیمیایی پر کاربرد است که به روش تخمیر میکروبی تشکیل می شود. این ترکیب شیمیایی به صورت طبیعی از باکتری با نام زانتاموناس کامپستریس، طی انجام فرآیندهایی تولید می شود.زانتان گام جزئی از خانواده پلیمرها می باشد که به صورت صمغ یافت می شود که حالتی لزج دارد. این پلی ساکارید کاربردی، از فرمانتاسیون قندهایی همچون گلوکز، لاکتوز، ساکارز، مانوز و دی گلوکورنیک حاصل می شود.
کاربرد های زانتان گام
صنعت غذایی:
بیشترین کاربرد این محصول شیمیایی در صنایع غذایی است . زانتان گام همانند کربوکسی متیل سلولز در واقع یک ماده افزودنی می باشد که باعث ماندگاری بهتر و بیشتر بافت ها، طعم و بوی انواع مواد غذایی می شود. همچنین افزودن این ترکیب شیمیایی به مواد غذایی گوناگون باعث افزایش مقاومت این محصول در برابر درجه حرارت می شود.باعث بهبود بافت و افزایش ویسکوزیته در سس ها ،نوشیدنی ها ، بستنی و فرآورده های لبنی ، انواع شربت ها و آبمیوه ها، غذاهای کم چرب و .. ازین ماده برای پایدار کننده در محصولات فاقد گلوتن و کنترل کریستالیزاسیون در محصولات منجمد نیز مورد استفاده قرار میگیرد. از این ماده در بسیاری از موارد به جای گلوتن استفاده می شود. در واقع هرجا صحبت از پخت و پز بدون گلوتن می شود، از زانتان گام استفاده می شود.
صنعت دارویی و پزشکی:
ازین ماده در دارو های مایع بعنوان پایدار کننده در شربت
ها و سوسپانسیون های دارویی و تولید قرص های جویدنی و شربت های غلیظ و افزایش
داروهای موضعی مانند : ژل ها و کرم ها استفاده میشود.
صنعت آرایشی و بهداشتی:
از جمله خواص و ویژگی های این محصول شیمیایی می توان به افزایش حجم و غلیظ کنندگی اشاره کرد. به علت داشتن این دو ویژگی از این محصول شیمیایی برای تولید برخی از محصولات آرایشی و بهداشتی استفاده می شود. همچنین حضور زانتان گام در ساختار مواد شیمیایی، به افزایش طول عمر و ماندگاری محصولات کمک می کند. از این ماده شیمیایی برای تولید انواع خمیردندان ها، همچنین برای ایجاد قوام مناسب در انواع کرم ها نظیر کرم های مرطوب کننده، کرم های ضد آفتاب، کرم های سفید کننده، کرم های دورچشم و…، انواع شامپوها همچون شامپوهای ضدشوره، انواع لوسیون های بدن و … ،برای پخش شدگی مواد بر روی پوست مورده استفاده قرار میگیرد.
صنعت نفت و حفاری:
ازین ماده درافزایش ویسکوزیته گل حفاری برای
بهبود راندمان استخراج و همچنین از ریزش دیواره چاه های نفت و
گاز استفاده میشود.
سایر صنایع:
استفاده در رنگ ها و پوشش های صنعتی همچنین در
بهبود چسبندگی در چسب ها و رزین ها مورده استفاده قرار میگیرد.این محصول شیمیایی در بسیاری از صنایع برای ساخت انواع محصولات استفاده می شود. چرا که ماده بسیار مقاوم در برابر درجه حرارت و تغییر میزان PH میباشد،به همین علت از این ترکیب شیمیایی در حفاری نفت، صنعت کشاورزی برای تولید آفت کش ها، علف کش ها، حشره کش ها و کودهای شیمیایی استفاده می شود.
MSDS
تماس با پوست : معمولاً برای تماس با پوست ایمن است، اما تماس طولانی مدت با
پودر خشک میتواند باعث تحریک خفیف پوست شود. توصیه میشود از تماس طولانی مدت با
پوست خودداری کنید و از دستکشهای حفاظتی استفاده کنید
تماس با چشمها :
تماس پودر این ماده با چشمها میتواند باعث تحریک خفیف و قرمزی شود. در صورت تماس
با چشم، باید فوراً با آب زیاد شسته شود و در صورت ادامه مشکل، به پزشک مراجعه شود
تنفس : استنشاق پودر
آن میتواند باعث تحریک مجاری تنفسی و سرفه شود. برای جلوگیری از این مشکل، در هنگام
کار با این ماده استفاده از ماسک تنفسی مناسب توصیه میشود.
بلع : بلعیدن مقادیر
کم این ماده احتمالاً باعث عوارض جدی نمیشود، اما در صورت بلعیدن مقدار زیادی، ممکن
است نیاز به مراقبت پزشکی باشد.
عوارض احتمالی : تحریک
خفیف پوست در اثر تماس طولانی مدت با پودر خشک و همچنین قرمزی و تحریک خفیف چشمها
در اثر تماس با پودر ممکن است رخ دهد. همچنین سرفه و تحریک مجاری تنفسی در اثر استنشاق
پودر و در صورت بلعیدن مقادیر زیاد، ممکن است مشکلات گوارشی مانند تهوع و استفراغ رخ
دهد.
احتیاطات و روشهای
ایمنی : در هنگام کار با آن، استفاده از دستکشهای حفاظتی، عینکهای ایمنی و ماسک تنفسی
توصیه میشود. کار در محیطهای دارای تهویه مناسب برای کاهش خطر استنشاق پودر توصیه
میشود و باید در مکانهای خشک و خنک، در ظروف محکم و دربسته نگهداری شود تا از رطوبت
و آلودگی محافظت شود.

قیمت و خرید زانتان
گام
امروزه به علت نوسانات
قیمت موجود در بازار مواد شیمیایی، قیمت زانتان گام همچون سایر مواد شیمیایی دست خوش
تغییرات روزانه می شود. برای اطلاع از آخرین قیمت این محصول شیمیایی و جزئیات خرید محصول
می توانید با شماره های درج شده در سایت شرکت کیا تجارت تماس بگیرید و اطلاعات لازم را کسب کنید.
09129174503 09129174551 02186058172